Mercados  ·  Almacenamiento

Las centrales de bombeo hidroeléctrico y su papel en la flexibilidad del sistema eléctrico

La planta almacena energía cuando el sistema tiene abundancia, ya sea por la madrugada con poca demanda o en las horas centrales del día gracias a la energía solar fotovoltaica, y la devuelve al mercado cuando más se necesita por la tarde y la noche, con más demanda y menor producción renovable

3 comentarios publicados

La creciente penetración de energías renovables está transformando la estructura temporal de los mercados eléctricos, aumentando la variabilidad horaria y modificando los patrones de operación del sistema. En este nuevo entorno, las tecnologías de almacenamiento de energía, y en particular las plantas de bombeo, desempeñan un papel esencial al permitir desplazar energía desde momentos de menor precio hacia horas de mayor valor económico.

El análisis de las operaciones casadas en el mercado diario muestra cómo estas instalaciones no solo aportan estabilidad operativa, sino que también capturan valor económico al gestionar de forma eficiente las diferencias temporales de precio.

Análisis de la operativa en el mercado diario

A partir de las operaciones casadas en el mercado diario entre 2020 y 2025, es posible determinar el comportamiento operativo y económico de una planta de bombeo, utilizando la energía intercambiada por dicha planta de bombeo en el sistema eléctrico peninsular y los precios horarios resultantes del mercado. Incluso limitándose al mercado diario, estos datos permiten reconstruir los patrones fundamentales de operación del almacenamiento de energía a gran escala y su interacción con la formación de precios.

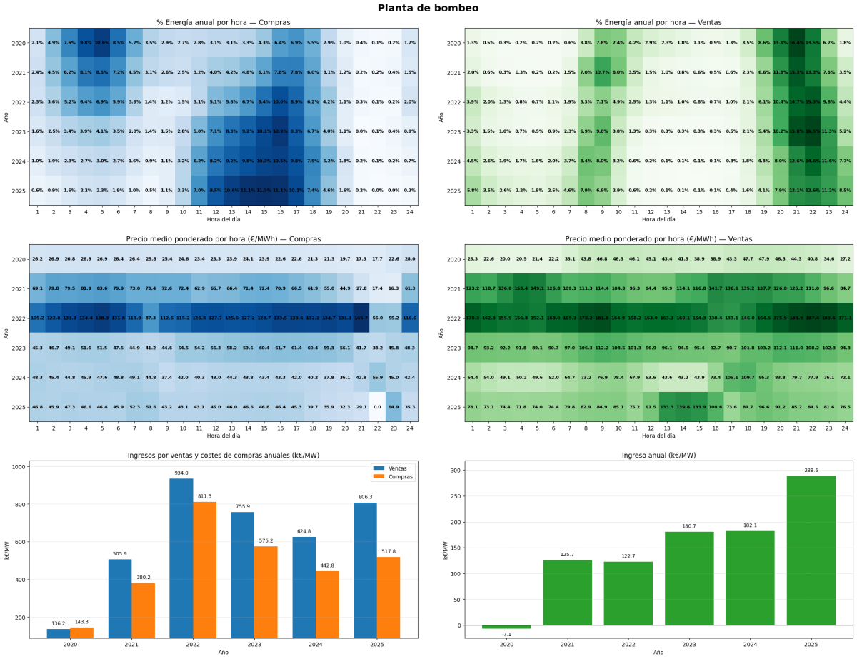
La siguiente imagen sintetiza el comportamiento operativo de la planta a través de tres dimensiones clave: la distribución horaria de la energía efectivamente intercambiada, los precios medios ponderados por hora obtenidos a partir de sus operaciones casadas de compra y venta en el mercado diario, y el ingreso anual neto resultante de la diferencia entre los ingresos por ventas y los costes de compras de la instalación, ofreciendo una visión integrada del valor que aporta la flexibilidad al sistema eléctrico.

Fuente: Elaborado por AleaSoft con datos de OMIE.

Distribución horaria de la energía comprada y vendida por la planta de bombeo

El porcentaje de energía anual por hora muestra cómo se distribuye el volumen total de energía que la planta compra y vende a lo largo del día, considerando las ofertas casadas en el mercado diario. Cada valor indica qué fracción del total anual se concentra en una hora concreta, permitiendo identificar las ventanas operativas donde la planta realiza la mayor parte de sus ciclos de carga y descarga. Esta métrica no refleja precios, sino comportamiento físico real en términos de energía movilizada.

En el caso de las compras, en 2020 y 2021 la mayor concentración de energía se produce en la madrugada, cuando la menor demanda presiona los precios a la baja, alcanzando aproximadamente un 10,6% a las 05:00 horas en 2020 y un 8,5% en esa misma hora en 2021. A partir de 2022 se observa un desplazamiento claro hacia las horas centrales y primeras horas de la tarde: el máximo se sitúa en torno a las 16:00 horas con un 10,0% en 2022, un 10,9% en 2023 y a las 15:00 horas con un 10,5% en 2024. En 2025 esta concentración es aún más marcada, alcanzando aproximadamente un 11,3% en torno a las 15:00 horas. Este patrón evidencia una progresiva focalización de la carga en horas centrales del día, donde los precios se han canibalizado por el rápido aumento de la energía solar fotovoltaica.

El redactor recomienda

En cuanto a las ventas, la concentración es mucho más estable y claramente orientada hacia el final de la jornada, con los mayores porcentajes de energía anual situándose de forma recurrente entre las 21:00 y las 22:00 horas y valores típicos en el entorno del 13% al 17% del total anual. Aunque existen volúmenes secundarios en otras horas, la descarga principal se concentra de forma consistente en la franja de tarde y noche, coincidiendo con el pico de demanda y de precios.

La planta almacena energía cuando el sistema tiene abundancia, ya sea por la madrugada con poca demanda o en las horas centrales del día gracias a la energía solar fotovoltaica, y la devuelve al mercado cuando más se necesita por la tarde y la noche, con más demanda y menor producción renovable. Es una demostración clara de cómo el almacenamiento gestiona la energía.

Fuente: Elaborado por AleaSoft con datos de OMIE.

La siguiente imagen muestra el precio promedio al que se ha adquirido o vendido la energía en cada hora del día.

Fuente: Elaborado por AleaSoft con datos de OMIE.

Ingreso anual neto de la planta de bombeo a partir de sus operaciones casadas en el mercado diario

El ingreso anual neto se ha calculado a partir de las ofertas de compra y venta casadas de la planta en el mercado diario, como la diferencia entre el valor total de la energía vendida y el coste total de la energía comprada en cada año. Estos resultados representan el desempeño operativo de la planta de bombeo en función de las transacciones que ha realizado.

En 2020 la energía comprada en el mercado diario tuvo un coste superior al valor de la energía vendida, reflejando unos precios del mercado diario muy deprimidos y con poca volatilidad debido a las consecuencias de la pandemia de COVID‑19. A partir de 2021 se observa un aumento muy significativo de los ingresos netos, situándose en torno a 126 k€/MW en 2021 y manteniéndose en niveles similares en 2022, lo que indica un mercado diario con una mayor volatilidad de precios y más oportunidades económicas favorables para la instalación.

Desde 2023 el valor económico generado por la planta se incrementa de forma clara, superando los 180 k€/MW en 2023 y 2024, y alcanzando aproximadamente 289 k€/MW en 2025. Esta evolución muestra los cambios radicales en la estructura de precios del mercado diario, con un incremento notable de la volatilidad debido a unos precios del gas más altos que antes de la crisis de 2022 y un aumento de producción de las energías renovables, particularmente la energía solar fotovoltaica.

En conjunto, los ingresos anuales reflejan cómo la planta de bombeo ha ido capturando de forma creciente valor económico, aprovechando de manera más eficiente las diferencias temporales de precio observadas en sus operaciones casadas. El resultado pone de manifiesto el papel cada vez más relevante de la flexibilidad operativa del almacenamiento hidráulico dentro del sistema eléctrico, desde la perspectiva concreta de esta instalación.

Fuente: Elaborado por AleaSoft con datos de OMIE.

Perspectivas de los mercados de energía en Europa. Primavera 2026

El webinar mensual número 64 organizado por AleaSoft Energy Forecasting tendrá lugar el 12 de marzo de 2026, a las 12:00 CET, y se centrará en el análisis de la evolución reciente de los mercados de energía europeos, sus perspectivas para la primavera y los principales hitos que marcarán el sector a lo largo de 2026. La sesión abordará los desarrollos regulatorios más relevantes, así como el papel cada vez más determinante del almacenamiento de energía y de los mercados de capacidad en un sistema eléctrico caracterizado por una mayor penetración renovable y una creciente volatilidad de precios. En este ámbito, AleaStorage aporta soluciones avanzadas de optimización, análisis de ingresos y diseño de proyectos de almacenamiento y sistemas híbridos con renovables, orientadas a maximizar el valor económico y la rentabilidad de los activos.

El encuentro contará nuevamente con la participación de expertos de EY, que aportarán su experiencia en regulación, financiación de proyectos renovables y de almacenamiento, PPA, autoconsumo y valoración de activos y carteras energéticas, complementando el análisis de mercado de AleaSoft. El webinar se consolida como un espacio de referencia para comprender las tendencias que están transformando los mercados de energía europeos y el creciente valor estratégico de la flexibilidad en el sistema eléctrico.

Fuente: AleaSoft Energy Forecasting.

Noticias relacionadas

3 comentarios

  • galan

    galan

    23/02/2026

    España, deberia almacenar excedentes de la fotovoltaica en los varios sistemas que existen.

    Yo tengo mucha confianza en las baterias, pero, creo que las centrales de bombeo hidroeléctrico, van a tener también un papel muy importante en el sistema electrico español.

    Creo que se terminara almacenando electricidad por bombeo, para grandes consumos, como es la gran industria.
    Pero creo, que las baterías almacenaran electricidad en sistemas de autoconsumo, tanto en viviendas como en pequeñas o medianas empresas que tengan sitio para la fotovoltaica.
    Hay varios sistemas y todos validos si se usan convenientemente.

    Necesitamos almacenar, con centrales de bombeo, con baterias, o con otros sistemas posibles, pero, necesitamos almacenar nuestra gran producción de electricidad excedente, que se nos escapa sin consumir.

    Una vez que tengamos consolidado el sistema de almacenamiento, dejemos que el mercado escoja cuales van a ser, las energias mas rentables.



  • Sol Mediterráneo

    Sol Mediterráneo

    23/02/2026

    Oportuno e interesante artículo, los datos más simplificados serían mucho más didácticos.

    Conocer las horas y el volumen de compra y venta de energía para bombeo-turbinación es fundamental.

    Para España un país sin recursos fósiles, disponer de los actuales excedentes eólicos y fotovoltaicos es una oportunidad que tenemos la obligación de aprovechar y rentabilizar a través del almacenamiento.

    Falta información pública de la gestión de una central de bombeo y turbinación para visualizar sus posibles mejoras de rendimiento, la única actualmente disponible es la de Gorana del Viento que son motores de bombeo.

    Tenemos instalados de bombeo puro 3.331 Mw con ellos sólo generamos en 2.025 5.886 Gwh con un rendimiento medio del 64 %.

    Como referencia los 1.480 Mw de turbinación de Cortes-La Muela se diseñaron para generar 5.000 Gwh/año.

    Falta que algún estudioso (tendría que ser el MITACO en un ejercicio de buen hacer), nos informe de todos los proyectos de bombeo existentes y la fecha prevista de entrada en funcionamiento.
  • Ana

    Ana

    23/02/2026

    289 k€/MW en 2025, no encarece la factura del consumidor?

Deja tu comentario

Tu dirección de correo electrónico no será publicada. Todos los campos son obligatorios

Este sitio web está protegido por reCAPTCHA y la Política de privacidad y Términos de servicio de Google aplican.